جواب فعالیت صفحه 50 درس 3 ریاضی دوازدهم تجربی (حد بی نهایت و حد در بی نهایت)
تعداد بازدید : 84.74Mپاسخ فعالیت صفحه 50 ریاضی دوازدهم تجربی
-گام به گام فعالیت صفحه 50 درس حد بی نهایت و حد در بی نهایت
-فعالیت صفحه 50 درس 3
-شما در حال مشاهده جواب فعالیت صفحه 50 ریاضی دوازدهم تجربی هستید. ما در تیم مای درس، پاسخنامههای کاملاً تشریحی و استاندارد را مطابق با آخرین تغییرات کتاب درسی 1404 برای شما گردآوری کردهایم. اگر به دنبال بهروزترین پاسخها برای این صفحه هستید و میخواهید بدون نیاز به اتصال به اینترنت، علاوه بر پاسخهای گام به گام، به گنجینهای از مطالب درسی دسترسی پیدا کنید، حتماً اپلیکیشن مایدرس را نصب نمایید.
📥 دانلود اپلیکیشن مایدرس
برای دسترسی آفلاین، سریع و بدون نیاز به اینترنت به گنجینهای از گامبهگامها و نمونه سوالات، اپلیکیشن را نصب کنید.
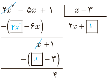
1 الف چندجمله ای \(f\left( x \right) = 2{x^2} - 5x + 1\) را بر دو جمله ای درجه اول (x-3) تقسیم کرده ایم. جاهای خالی را پر کنید:

ب اگر در تقسیم بالا، باقیمانده را با R نشان دهیم، داریم R=… .
پ مقدار f(3) را محاسبه کنید.
ت f(3) و R چه رابطه ای با هم دارند؟
ث رابطه تقسیم را کامل کنید:
\(2{x^2} - 5x + 1 = \left( {x - 3} \right)\left( {2x + \;\bigcirc } \right) + 4\)
الف

ب اگر در تقسیم بالا، باقیمانده را با R نشان دهیم، داریم R=...4... .
پ
\(f(3) = 2{(3)^2} - 5(3) + 1 = 18 - 15 + 1 = 4\)
ت با هم برابرند.
ث
\(2{x^2} - 5x + 1 = \left( {x - 3} \right)\left( {2x + \;1} \right) + 4\)
2 الف اکنون می خواهیم در حالت کلی چندجمله ای دلخواه f(x) را بر دوجمله ای درجه اول (x-a) تقسیم کنیم. فرض کنیم خارج قسمت این تقسیم، چندجمله ای Q(x) و باقیماندهٔ آن عدد ثابت R باشد:
شکل
رابطهٔ تقسیم به صورت زیر است:
F(x) = (x – a) Q(x) + R
این رابطه، به ازای تمام مقادیر x درست است؛ از جمله به ازای x=a. با قرار دادن a به جای x در دو طرف رابطهٔ فوق خواهیم داشت:
F(x) = (…. – a) Q(….) + R
ب از رابطهٔ اخیر مقدار R را به دست آورید.
\(f(a) = (a - a)Q(a) + R \Rightarrow f(a) = R\)
مای درس ، برترین اپلیکیشن کمک درسی ایران
پوشش تمام محتواهای درسی پایه چهارم تا دوازدهم- آزمون آنلاین تمامی دروس
- گام به گام تمامی دروس
- ویدئو های آموزشی تمامی دروس
- گنجینه ای از جزوات و نمونه سوالات تمامی دروس
- فلش کارت های آماده دروس
- گنجینه ای جامع از انشاء های آماده
- آموزش جامع آرایه های ادبی، دستور زبان، قواعد زبان انگلیسی و ... ویژه





