جواب کاردرکلاس صفحه 51 درس 3 ریاضی دوازدهم تجربی (حد بی نهایت و حد در بی نهایت)
تعداد بازدید : 84.74Mپاسخ کاردرکلاس صفحه 51 ریاضی دوازدهم تجربی
-گام به گام کاردرکلاس صفحه 51 درس حد بی نهایت و حد در بی نهایت
-کاردرکلاس صفحه 51 درس 3
-شما در حال مشاهده جواب کاردرکلاس صفحه 51 ریاضی دوازدهم تجربی هستید. ما در تیم مای درس، پاسخنامههای کاملاً تشریحی و استاندارد را مطابق با آخرین تغییرات کتاب درسی 1404 برای شما گردآوری کردهایم. اگر به دنبال بهروزترین پاسخها برای این صفحه هستید و میخواهید بدون نیاز به اتصال به اینترنت، علاوه بر پاسخهای گام به گام، به گنجینهای از مطالب درسی دسترسی پیدا کنید، حتماً اپلیکیشن مایدرس را نصب نمایید.
📥 دانلود اپلیکیشن مایدرس
برای دسترسی آفلاین، سریع و بدون نیاز به اینترنت به گنجینهای از گامبهگامها و نمونه سوالات، اپلیکیشن را نصب کنید.
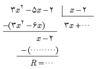
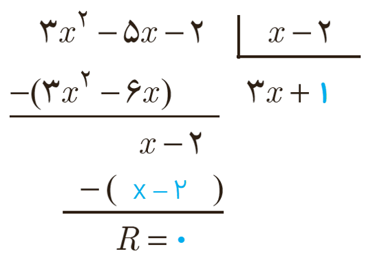
1 در چندجمله ای \(f\left( x \right) = 3{x^2} - 5x - 2\)، مقدار f(2) برابر صفر است. بنابراین f(x) بر (x-2) بخش پذیر است. با تکمیل مراحل تقسیم، درستی این مطلب را بررسی کنید.

بنابر رابطهٔ تقسیم داریم: \(f\left( x \right) = 3{x^2} - 5x - 2 = \left( {x - 2} \right)\left( {3x + .....} \right)\)
همانگونه که دیده می شود، f(x) به صورت حاصل ضرب عامل های آن نوشته شده است.

\(f(x) = 3{x^2} - 5x - 2 = (x - 2)(3x + 1)\)
2 چندجمله ای \(g\left( x \right) = 2{x^3} + {x^2} + 1\) را در نظر بگیرید.
الف آیا g(x) بر (x+1) بخش پذیر است؟ چرا؟
ب با انجام تقسیم، درستی ادعای خود را بررسی کنید:
\(2{x^3} + {x^2} + 1\;\;\;\left| {\underline {\,\,\,\,\,\,x + 1\,\,\,\,\,\,} } \right.\;\)
پ g(x) را به صورت حاصل ضرب عامل ها بنویسید.
الف بله؛ زیرا :
\(\begin{array}{l}x + 1 = 0 \Rightarrow x = - 1\\\\ \Rightarrow g( - 1) = 2{( - 1)^3} + {( - 1)^2} + 1 = - 2 + 1 + 1 = 0\end{array}\)
ب
\(\begin{array}{l}\,\,\,2{x^3} + {x^2} + 1\;\;\;\left| {\underline {\,\,\,\,\,\,x + 1\,\,\,\,\,\,} } \right.\;\\\underline { - 2{x^3} - 2{x^2}\,\,\,\,} \,\,\,\,\,2{x^2} - x + 1\\\,\,\,\,\,\,\,\,\,\, - {x^2} + 1\\\underline {\,\,\,\,\,\,\,\,\,\, + {x^2} + x} \\\,\,\,\,\,\,\,\,\,\,\,\,\,x + 1\\\underline {\,\,\,\,\,\,\,\,\, - x - 1\,\,\,\,} \\\,\,\,\,\,\,\,\,\,\,\,\,\,\,\,\,\,\,\,0\end{array}\)
پ
\(g(x) = 3{x^2} + {x^2} + 1 = (x + 1)(2{x^2} - x + 1)\)
3 نشان دهید چندجمله ای بر دوجمله ای x+2 بخش پذیر است.
\(\begin{array}{l}x + 2 = 0 \Rightarrow x = - 2\\\\ \Rightarrow f( - 2) = 2{( - 2)^3} + 5{( - 2)^2} - 3( - 2) - 10 = 0\\\\ \Rightarrow R = 0\end{array}\)
مای درس ، برترین اپلیکیشن کمک درسی ایران
پوشش تمام محتواهای درسی پایه چهارم تا دوازدهم- آزمون آنلاین تمامی دروس
- گام به گام تمامی دروس
- ویدئو های آموزشی تمامی دروس
- گنجینه ای از جزوات و نمونه سوالات تمامی دروس
- فلش کارت های آماده دروس
- گنجینه ای جامع از انشاء های آماده
- آموزش جامع آرایه های ادبی، دستور زبان، قواعد زبان انگلیسی و ... ویژه





