جواب پرسش ها و مسئله های فصل 2 صفحه 79 درس 2 فیزیک یازدهم ریاضی (جریان الکتریکی و مدارهای جریان مستقیم)
تعداد بازدید : 84.73Mپاسخ پرسش ها و مسئله های فصل 2 صفحه 79 فیزیک یازدهم ریاضی
-گام به گام پرسش ها و مسئله های فصل 2 صفحه 79 درس جریان الکتریکی و مدارهای جریان مستقیم
-پرسش ها و مسئله های فصل 2 صفحه 79 درس 2
-شما در حال مشاهده جواب پرسش ها و مسئله های فصل 2 صفحه 79 فیزیک یازدهم ریاضی هستید. ما در تیم مای درس، پاسخنامههای کاملاً تشریحی و استاندارد را مطابق با آخرین تغییرات کتاب درسی 1404 برای شما گردآوری کردهایم. اگر به دنبال بهروزترین پاسخها برای این صفحه هستید و میخواهید بدون نیاز به اتصال به اینترنت، علاوه بر پاسخهای گام به گام، به گنجینهای از مطالب درسی دسترسی پیدا کنید، حتماً اپلیکیشن مایدرس را نصب نمایید.
📥 دانلود اپلیکیشن مایدرس
برای دسترسی آفلاین، سریع و بدون نیاز به اینترنت به گنجینهای از گامبهگامها و نمونه سوالات، اپلیکیشن را نصب کنید.
1) در کدام یک از شکل های زیر، لامپ روشن می شود؟

2) در مدار شکل زیر اختلاف پتانسیل دو سر لامپ 4/0V و مقاومت آن 5/0Ω است. در مدت 5 دقیقه چه تعداد الکترون از لامپ می گذرد؟

3) بررسی کنید اگر مته برقی (دریل) معیوب شکل های زیر را با دوشاخه (شکل الف) یا سه شاخه (شکل ب) به پریز وصل کنیم، چه رخ می دهد؟

4) آذرخش مثالی جالب از جریان الکتریکی در پدیده های طبیعی است. در یک آذرخش نوعی 910 × 1 ژول انرژی تحت اختلاف پتانسیل 710 × 5 ولت در بازه زمانی 0/20s آزاد می شود. با استفاده از این اطلاعات الف) مقدار بار کل منتقل شده بین ابر و زمین، ب) جریان متوسط در یک یورش آذرخش و پ) توان الکتریکی آزاد شده در 0/20s را به دست آورید.
5) در آزمایش تحقیق قانون اهم، نتایج جدول زیر به دست آمده است.

نمودار ولتاژ بر حسب جریان را رسم کنید و با فرض ثابت ماندن دما تعیین کنید در چه محدودهای رفتار این مقاومت از قانون اهم پیروی می کند.
6) شکل زیر نمودار I-V را براى دو رسانای A و B نشان مى دهد. مقاومت کدام یک بیشتر است؟ چرا؟

7) دو رسانای فلزی از یک ماده ساخته شده اند و طول یکسانی دارند. رسانای A سیم توپری به قطر 1/0mm است. رسانای Bلوله ای توخالی به شعاع خارجی 2/0mm و شعاع داخلی 1/0mm است. مقاومت رسانای A چند برابر مقاومت رسانای Bاست؟
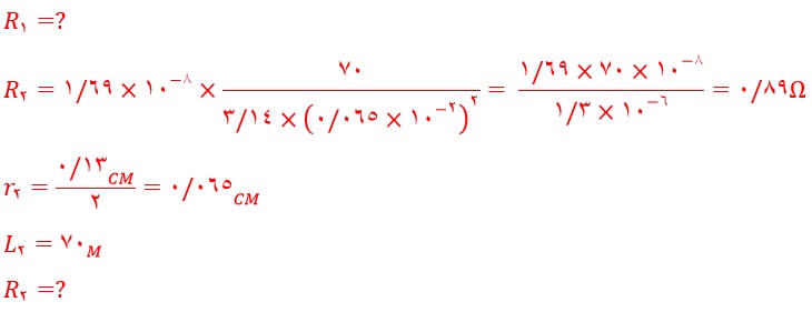
8) در ماشین های چمن زنی برقی برای مسافت های حداکثر تا 35m از سیم های مسی نمره 20 (قطر 0.08 سانتی متر) و برای مسافت های طولانی تر از سیم های ضخیم تر نمره 16 (قطر 0.13 سانتی متر) استفاده می کنند تا بدین ترتیب مقاومت سیم را تا آنجا که ممکن است کوچک نگه دارند.
الف) مقاومت یک سیم 30 متری ماشین چمن زنی چقدر است؟
ب) مقاومت یک سیم 70 متری ماشین چمن زنی چقدر است؟ (دمای سیم ها را 20 درجه سانتی گراد در نظر بگیرید.)
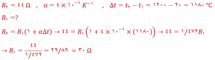
9) مقاومت رشته درونی یک برشته کن که از جنس نیکروم است، در حالت روشن (دمای 1200 درجه سانتیگراد) برابر 44 اهم است. مقاومت این رشته در دمای 20 درجه سانتیگراد چقدر است؟ (از تغییر طول و قطر رشته در اثر تغییر دما چشم پوشی شود).
10) شکل زیر یک مشابهت سازی مکانیکی برای درک مقاومت و نیروی محرکه الکتریکی را نشان می دهد که در آن بر سطح شیبداری میخ هایی تعبیه شده و تیله ها از ارتفاع بالای سطح شیبدار رها می شوند و سپس دوباره به بالای سطح شیبدار بازگردانده می شوند. این مشابهت سازی مکانیکی را توجیه کنید.

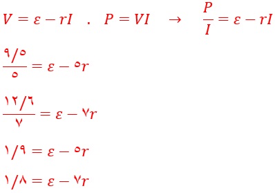
11) اختلاف پتانسیل دو سر باترى خودروهاى سوارى برابر 12 ولت است. اگر هشت باترى قلمى 1/5 ولتى را به طور متوالى به یکدیگر وصل کنیم، اختلاف پتانسیل دو سر مجموعه آنها نیز برابر 12 ولت مى شود. توضیح دهید چرا در خودروها به جاى باترى خودرو از هشت باترى قلمى استفاده نمى شود.
12) یک باتری را در نظر بگیرید که وقتی به مدار بسته نیست پتانسیل دو سرش برابر 12/0V است. وقتی یک مقاومت 10/0Ωبه این باتری بسته شود، اختلاف پتانسیل دو سر باتری به 10/9V کاهش می یابد. مقاومت داخلی باتری چقدر است؟
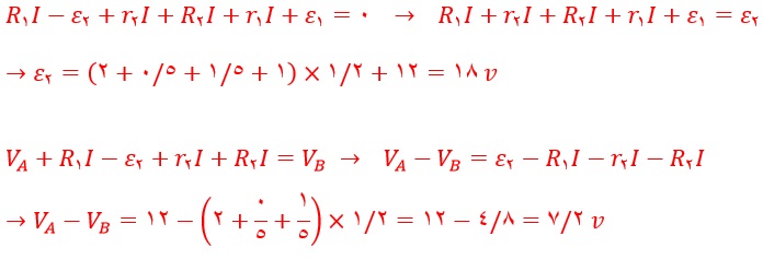
13) در مدار شکل زیر جریان در مدار و اختلاف پتانسیل بین دو نقطه A و Bرا محاسبه کنید.

14) در شکل زیر الف) اختلاف پتانسیل دو سر منبع های نیروی محرکه را به دست آورید.
ب) پتانسیل نقطه A را تعیین کنید.

15) دو لامپ رشته ای در اختیار داریم که جنس و طول رشته آنها یکسان است، ولی رشته لامپ B ضخیم تر از رشته لامپ Aاست. وقتی لامپ ها به ولتاژ یکسانی وصل شوند، کدام لامپ پر نورتر خواهد بود و چرا؟
16) بر روی وسیله های الکتریکی، اعداد مربوط به ولتاژ و توان نوشته می شود. برای دو وسیله زیر،
الف) سیم های اتصال به برق آنها باید بتواند حداقل چه جریانی را از خود عبور دهد؟
ب) مقاومت الکتریکی هر وسیله در حالت روشن چقدر است؟

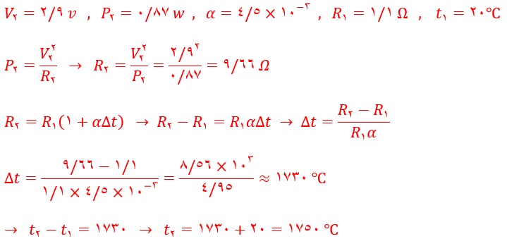
17) لامپ یک چراغ قوه معمولی با ولتاژ 2/9V کار می کند و در این حالت توان مصرفی آن W0/87 می شود. اگر مقاومت رشته تنگستنی این لامپ در دمای اتاق (°C20) برابر 1/1 اهم باشد، دمای این رشته وقتی که لامپ روشن است، چقدر می شود؟
18) شکل زیر جریان I را در یک مدار تک حلقه ای با باتری Bو مقاومت های R1 و R2 سیم هایی با مقاومت ناچیز نشان می دهد. الف) علامت پایانه های باتری B را مشخص کنید. در نقاط a، b و c. ب) بزرگی جریان، پ) پتانسیل الکتریکی و ت) انرژی پتانسیل الکتریکی حامل های بار مثبت را به گونه ای مرتب کنید که بیشترین مقدار در ابتدا باشد.

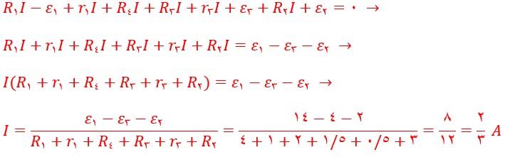
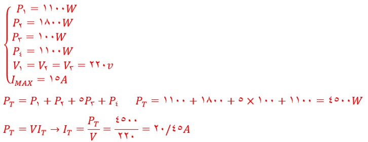
19) تلویزیون و یکی از لامپ های خانه خود را در نظر بگیرید و فرض کنید که هر کدام روزی ٨ ساعت با اختلاف پتانسیل 220ولت روشن باشد.
الف) انرژی الکتریکی مصرفی هر کدام در یک دوره یک ماهه (30 روز) چند kWh است؟ (توان مصرفی هر وسیله را از روی آن بخوانید(.
ب) بهای برق مصرفی هر کدام از قرار هر کیلووات ساعت 50 تومان در یک دوره یک ماهه چقدر می شود؟
پ) اگر در شهر شما هر خانه یک لامپ 100وات اضافی را به مدت 3 ساعت در شب روشن کند، در طول یک ماه تقریباً چند کیلووات ساعت انرژی الکتریکی اضافی مصرف می شود؟
20) در شکل زیر، الف) نیروی محرکه الکتریکی و مقاومت داخلی منبع را که توان خروجی آن به ازای I1=5/00A برابر 9/50W و به ازای I2=7/00A برابر 12/6W است، محاسبه کنید.
ب) نمودار اختلاف پتانسیل دو سر باتری برحسب جریان گذرنده از آن را رسم کنید.

21) لامپ هاى یک درخت زینتى، به طور متوالى متصل شده اند. اگر یکى از لامپ ها بسوزد، چه اتّفاقى می افتد؟ به نظر شما چرا همه چراغ های خودرو (چراغ های جلو، عقب و ...) به طور موازی بسته می شوند؟
22) مقاومت یک آمپرسنج براى اندازه گیرى جریان در یک مدار باید چگونه باشد تا جریان اندازه گیری شده توسط آمپرسنج با جریان قبل از قرار دادن آمپرسنج، نزدیک به هم باشد؟
23) شکل زیر بخشی از یک مدار را نشان می دهد. بزرگی و جهت جریان I در سیم پایین سمت راست چیست؟

24) در شکل زیر، تعدادى لامپ مشابه به طور موازى به هم متصل شده اند و هر لامپ با کلیدى همراه است. بررسى کنید که با بستن کلیدها یکى پس از دیگرى، عددهایی که آمپرسنج و ولت سنج نشان مى دهند، چه تغییرى مى کند؟

25) دو لامپ با مقاومت مساوى R را یک بار به طور متوالى و بار دیگر به طور موازى به یکدیگر مى بندیم و آنها را هر بار به ولتاژ V وصل مى کنیم. نسبت توان مصرف شده در حالت موازى به توان مصرف شده در حالت متوالى چقدر است؟
26) در شکل های زیر، آیا مقاومت ها به طور متوالی بسته شده اند یا موازی و یا هیچ کدام؟

27) در مدار شکل زیر جریان در جهت نشان داده شده 1/2A است.
الف) نیروى محرکه ε2 و اختلاف پتانسیل دو نقطه A و B چقدر است؟
ب) انرژى مصرفشده در R1 و R2 در مدت 5 ثانیه چقدر است؟

28) سه مقاومت مشابه 12 اهمى را یک بار به طور متوالى و بار دیگر به طور موازى به یکدیگر مى بندیم و به اختلاف پتانسیل 12 ولت وصل مى کنیم. در هر بار، چه جریانى از هر مقاومت مى گذرد؟
29) دو مقاومت موازى 16 اهمى و 12 اهمى به طور متوالى به یک مقاومت 2 اهمى وصل شده است. اکنون، مجموعه مقاومت ها را به دو سر یک باترى آرمانی 36 ولتى مى بندیم. توان مصرفى در مقاومت 6 اهمى را محاسبه کنید.
30) در شکل زیر، وقتی کلید بسته شود چه جریانی از هر لامپ رشته ای می گذرد؟

31) جریانی که از منبع نیروی محرکه آرمانی و هر یک از مقاومت های شکل رو به رو می گذرد، چقدر است؟

32) لامپ های A، B و C در شکل زیر همگی یکسان اند. با بستن کلید، کدام یک از تغییرات زیر در اختلاف پتانسیل رخ می دهد؟ (ممکن است بیش از یک پاسخ درست باشد.)

الف) اختلاف پتانسیل دو سر A و B تغییر نمی کند.
ب) اختلاف پتانسیل دو سر C به اندازه 50 درصد کاهش می یابد.
پ) هر یک از اختلاف پتانسیل های دو سر A و B به اندازه 50 درصد افزایش می یابد.
ت) اختلاف پتانسیل دو سر C به صفر کاهش می یابد.
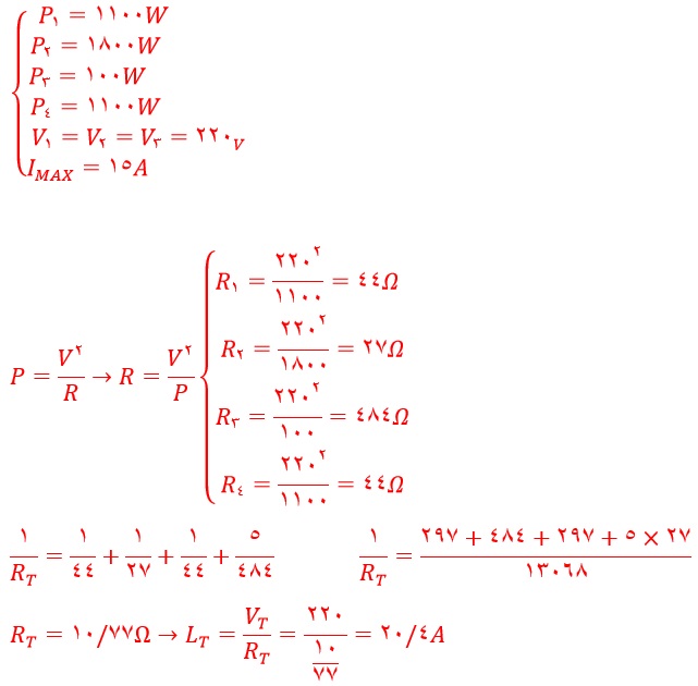
33) درسیم کشی منازل، همه مصرف کننده ها به طور موازی متصل می شوند. یک اتوی 1100W، یک نان برشته کن (توستر)، 1800W، پنج لامپ رشته ای 100Wو یک بخاری 1100W به پریزهای یک مدار سیم کشی خانگی 220V که حداکثر می تواند جریان 15A را تحمل کند وصل شده اند. آیا این ترکیب مصرف کننده ها باعث پریدن فیوز می شود یا خیر؟
1) لامپ مدار الف درمسیر عبور جریان مدار قرار ندارد پس خاموش می ماند
لامپ مدار ب جریانی درمدار ایجاد نمی شود چون مسیر بسته ای برای عبور جریان نداریم پس خاموش می ماند
لامپ مدار ب روشن می شود زیرا به دوسر لامپ اختلاف پتانسیل متصل است وجریان الکتریکی نیز از فیلامان لامپ می گذرد
2) پاسخ به صورت زیر خواهد بود:
3) درمته معیوب اگر روکش عایق یکی از سیم ها از بین رفته باشد وبا بدنه اتصال داشته باشد کسی که به آن دست می زند دچار برق گرفتگی می شود اما اگر مته سیم اتصال به زمین داشته باشد جریان الکتریکی به جای عبور از بدن شخص از اتصال به زمین(سیم ارت) عبور می کند ودیگر شخص دچار برق گرفتگی نمی شود(چون مقاومت این سیم درمقایسه با مقاومت بدن شخص خیلی کمتر است)
4) الف)
ب)
پ)
5) در محدوده ولتاژ 0 تا 7 ولت
6) 
در نتیجه داریم :
به ازای ولتاژ ثابت جریان عبوری از رسانای الف کمتر از رسانای ب می باشد.و چون مقاومت با جریان رابطه عکس دارد پس مقاومت الف بیشتر از مقاومت ب است.
درنمودار I-V هرچه شیب نمودار کمتر باشد مقاومت رسانا بیشتر خواهد بود.
7) پاسخ به صورت زیر خواهد بود:

8) الف)
ب)
9) پاسخ به صورت زیر خواهد بود:
10) کاری که ما برای بالا بردن گلوله ها انجام می دهیم ، همانند کار نیروی محرکه مولد برای انتقال بار الکتریکی از یک پایانه مولد برای انتقال بار الکتریکی از یک پایانه مولد به یک پایانه دیگر و سطح شیبدار هم همانند؛ مدار الکتریکی است. در یک مسیر رفت تمام انرزی که ما به گلوله دادیم یا مولد به الکترونها داده است، به علت مقاومت میخ یا مقاومت اتم ها در برابر الکترون ها از بین رفته و به پایین سطح شیبدار می رسد، در مرحله بعد بازهم ای عمل تکرار می شود.
11) میزان بار الكتریكی ذخیره شده در باتری های قلمی بسیاركمتر از انرژی الكتریكی ذخیره شده در باتری اتومبیل است. لذا باتری های قلمی شدت جریان لازم برای راه اندازی موتور و سایر وسایل الكتریكی اتومبیل را نمی توانند تأمین كنند.
12) پاسخ به صورت زیر خواهد بود:
13) برای بدست آوردن اختلاف پتانسیل دو نقطه A و B ابتدا باید جریان مدار را بدست آوریم:
با توجه به مدار داریم:
حال اختلاف پتانسیل بصورت زیر خواهد بود:
14) الف) ابتدا باید جریان مدار رو بدست بیاریم:
حال اختلاف پتانسیل دو سر منبع های نیروی محرکه را به دست می آوریم:
ب) پتانسیل نقطه A برابر است با اختلاف پتانسیل دو سر منبع نیرو محرکه 2 یعنی:
15) 
چون مقطع رشته لامپ B ضخیم تر است، پس مقاومتش کمتر بوده و با وصل کردن این دو لامپ، به ولتاز یکسان و با توجه به اینکه توان با مقاومت رابطه عکس دارد، در نتیجه توان لامپ B بیشتر بوده و نور بیشتری خواهد داشت.
16) الف) 
ب)
17) 
18) الف)
ب) بزرگی جریان در نقاط a ، b و c یا بززگی جریان حلقه برابر می باشد:
پ) پتانسیل الکتریکی بین نقاط a و b ، b و c ، a و c به صورت زیر خواهد بود:
ت) هرچه به پایه ی مثبت منبع تغذیه (باطری) نزدیک تر باشیم، انرژی پتانسیل بیشتری نسبت به دیگر نقاط داریم؛ بنابراین:
\({U_b} > {U_c} > {U_a}\)
19) الف)
ب)

پ)
20)
در نتیجه داریم :

21) در اتصال متوالی فقط وقتی یک لامپ می سوزد، مسیر عبور جریان از آن جز مدار قطع می شود. و این باعث، قطع جریان در کل مدار و خاموش شدن همه لامپ ها می شود.
چراغ های خودرو به طور موازی بسته می شود تا با سوختن یک لامپ همه لامپ ها خاموش نشوند؛همچنین در اتصال موازی نور لامپ ها بیشترین روشنایی دارند؛زیرا پتانسیل دوسر همه لامپ ها یکی است، در حالی که در اتصال متوالی ،این پتانسیل به نسبت مقاومت هر لامپ تقسیم می شود.
در مدار موازی نور لامپی بیشتر است که توان مصرفی بیشتری دارد. P=V2/R
22) مقاومت آمپرسنج باید بسیار ناچیز باشد. اگر آمپرسنج مقامت داشته در اثر افت پتانسیل در آمپرسنج مقداری از
جریان طبقه رابطهI=Ɛ/(R+RA+r) تلف شده و دیگر مقدار جریان با حالتی که آمپرسنج در مدار نباشد برابر نیست.
23) برای بدست آوردن مقدار I باید جریان های هر گره را با توجه به قوانین کیرشهف بدست آورده و در نهایت مقدار جریان مذکوره را بدست آوریم.
برای پیدا کردن جهت جریان، یک جهت فرضی در نظر می گیریم، اگر با فرض این جهت مقدار جریان منفی بود باید جهت را عکس کنیم در غیر اینصورت جهت فرضی، جهت جریان خواهد بود:
24) با بستن هر کلید تعداد مقاومت های موازی بیشتر شده مقاومت معادل کمتر می شود. RT=R/n
موقعی که مقاومت معادل کاهش می یابد، طبق رابطه I=Ɛ/(RT+r)عدد بیشتری را نشان می دهد.
با افزایش جریان، عددی که ولت سنج نشان می دهد مطابق رابطه V= Ɛ-eI کاهش می یابد
25) با توجه به رابطه توان P=V2/R ابتدا مقاومت معادل هر مدار را محاسبه کرده، سپس بر هم تقسیم می کنیم
26) در شکل الف مقاومت ها به طور متوالی بسته شده اند.(مقاومت ها در یک نقطه یکسان متصل شده اند)
در شکل های ب و پ مقاومت ها به طور موازی بسته شده اند.(دو سر تمام مقاومت های در دو نقطه a و b متصل شده اند)
و شکل ت نه به طور سری بسته شده و نه موازی.
27) الف)
ب)
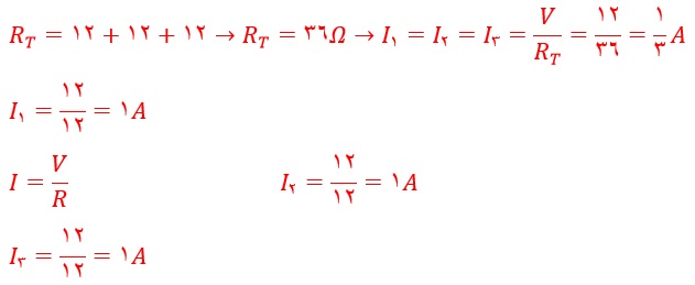
28)
29) پاسخ به صورت زیر خواهد بود:
30) 
31) برای حل این سؤال ابتدا باید مقاومت های معادل را بدست آورده و به یک مدار تک حل تبدیل کنیم و سپس جریان مدار را بدست بیاوریم. سه جفت مقاومت 4 اهمی داریم که هر کدام با یکدیگر موازی هستند و بعد از آن مقاومت های معادل این سه جفت با هم موازی خواهند بود و در نهایت مدار تک حلقه ای ایجاد شده و جریان را بدست می آوریم:
از آنجا که سه شاخه با مقاومت های برابر (2 اهمی) داریم جریان فوق به سه قسمت تقسیم خواهد شد:
و از آنجا که هر کدام از شاخه ها با مقاومت های برابر (4 اهمی) جدا شده اند برای هر شاخه جریان فوق به دو قسمت تقسیم خواهد شد:
32) الف) با بستن کلید و اتصال کوتاه لامپ C از مدار حذف می شود و چون جریان الکتریکی از مقدار Ɛ/3R به Ɛ/2Rافزایش میی یابد اختلاف پتانسیل هر کدام از مقاومت های مشابه A و B از Ɛ/3به Ɛ/2افزایش می یابد.
نادرست
ب) قبل ا بستن کلیدV1C=Ɛ/3 و بعد از بستن V2C=0 می شود یعنی 100 درصد اختلاف پتانسیل C کاهش می یابد.
نادرست
پ) اختلاف پتانسیل دو سر مقاومت ها از V1A=V1B=Ɛ/3 به V2A=V2B=Ɛ/2 می رسد (50 درصد افزایش) می یابد.
33)
این جریان بزرگتر از بیشینه جریانی است که مدار قادر به تحمل آن است. بنابراین فیوز خواهد پرید.
پاسخ راه دوم:
این جریان بیشتر از بیشینه جریانی است که مدار قادر به تحمل آن است. بنابراین فیوز خواهد پرید.
مای درس ، برترین اپلیکیشن کمک درسی ایران
پوشش تمام محتواهای درسی پایه چهارم تا دوازدهم- آزمون آنلاین تمامی دروس
- گام به گام تمامی دروس
- ویدئو های آموزشی تمامی دروس
- گنجینه ای از جزوات و نمونه سوالات تمامی دروس
- فلش کارت های آماده دروس
- گنجینه ای جامع از انشاء های آماده
- آموزش جامع آرایه های ادبی، دستور زبان، قواعد زبان انگلیسی و ... ویژه





