جواب فعالیت صفحه 79 درس 4 ریاضی دهم (معادله ها و نامعادله ها)
تعداد بازدید : 86.39Mپاسخ فعالیت صفحه 79 ریاضی دهم
-گام به گام فعالیت صفحه 79 درس معادله ها و نامعادله ها
-فعالیت صفحه 79 درس 4
-شما در حال مشاهده جواب فعالیت صفحه 79 ریاضی دهم هستید. ما در تیم مای درس، پاسخنامههای کاملاً تشریحی و استاندارد را مطابق با آخرین تغییرات کتاب درسی 1404 برای شما گردآوری کردهایم. اگر به دنبال بهروزترین پاسخها برای این صفحه هستید و میخواهید بدون نیاز به اتصال به اینترنت، علاوه بر پاسخهای گام به گام، به گنجینهای از مطالب درسی دسترسی پیدا کنید، حتماً اپلیکیشن مایدرس را نصب نمایید.
📥 دانلود اپلیکیشن مایدرس
برای دسترسی آفلاین، سریع و بدون نیاز به اینترنت به گنجینهای از گامبهگامها و نمونه سوالات، اپلیکیشن را نصب کنید.
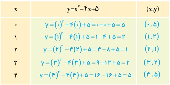
معادلهٔ یک سهمی به صورت \(y = {x^2} - 4x + 5\) است.
الف سمت راست این معادله را به شکل مربع کامل بنویسید.
\(y = {x^2} - 4x + 5\;\; \Rightarrow \;\;y = {\left( {x - 2} \right)^2} + ....\)
ب ریشهٔ عبارت داخل پرانتز را به دست آورید و آن را در ردیف وسط جدول زیر قرار دهید. جاهای خالی را با عبارت های مناسب پر کنید.
\(x - 2 = 0\; \Rightarrow \;...........\)

پ پنج نقطهٔ حاصل شده در جدول بالا را به یکدیگر وصل کنید تا این سهمی رسم شود.

ت آیا می توانید پایین ترین نقطهٔ این سهمی را از معادلهٔ آن به شکل \(y = {\left( {x - 2} \right)^2} + 1\) به دست آورید.
الف
\(y = {x^2} - 4x + 5\;\; \Rightarrow \;\;y = {\left( {x - 2} \right)^2} + 1\)
ب
\(x - 2 = 0\; \Rightarrow \;x = 2\)

پ

ت
طول این نقطه برابر با ریشه داخل پرانتز است و عرض آن از جایگذاری ریشه در تابع منحنی بدست می آید:
\(\begin{array}{*{20}{l}}{y = {{\left( {x - 2} \right)}^2} + 1 \Rightarrow x - 2 = 0 \Rightarrow {x_0} = 2 \Rightarrow {y_0} = {{\left( {2 - 2} \right)}^2} + 1 = 1}\\{ \Rightarrow \left\{ {\begin{array}{*{20}{l}}{{x_0} = 2}\\{{y_0} = 1}\end{array}} \right. \Rightarrow \left( {2\,,\,1} \right)}\end{array}\)
مای درس ، برترین اپلیکیشن کمک درسی ایران
پوشش تمام محتواهای درسی پایه چهارم تا دوازدهم- آزمون آنلاین تمامی دروس
- گام به گام تمامی دروس
- ویدئو های آموزشی تمامی دروس
- گنجینه ای از جزوات و نمونه سوالات تمامی دروس
- فلش کارت های آماده دروس
- گنجینه ای جامع از انشاء های آماده
- آموزش جامع آرایه های ادبی، دستور زبان، قواعد زبان انگلیسی و ... ویژه





