جواب کار در کلاس صفحه 79 درس 4 هندسه دهم (تجسم فضایی)
تعداد بازدید : 84.72Mپاسخ کار در کلاس صفحه 79 هندسه دهم
-گام به گام کار در کلاس صفحه 79 درس تجسم فضایی
-کار در کلاس صفحه 79 درس 4
-شما در حال مشاهده جواب کار در کلاس صفحه 79 هندسه دهم هستید. ما در تیم مای درس، پاسخنامههای کاملاً تشریحی و استاندارد را مطابق با آخرین تغییرات کتاب درسی 1404 برای شما گردآوری کردهایم. اگر به دنبال بهروزترین پاسخها برای این صفحه هستید و میخواهید بدون نیاز به اتصال به اینترنت، علاوه بر پاسخهای گام به گام، به گنجینهای از مطالب درسی دسترسی پیدا کنید، حتماً اپلیکیشن مایدرس را نصب نمایید.
📥 دانلود اپلیکیشن مایدرس
برای دسترسی آفلاین، سریع و بدون نیاز به اینترنت به گنجینهای از گامبهگامها و نمونه سوالات، اپلیکیشن را نصب کنید.
1 به سؤالات زیر پاسخ دهید.
(می توانید از تصاویر کمک بگیرید.)

الف در صفحه از هر نقطه چند خط می گذرد؟ در فضا چطور؟
ب در صفحه از یک نقطه غیر واقع بر یک خط، چند خط موازی آن خط می توان رسم کرد؟ در فضا چطور؟
الف از هر نقطه چه در صفحه و چه در فضا بیشمار خط می گذرد.
ب از هر نقطه غیر واقع بر یک خط چه در صفحه و چه در فضا فقط یک خط موازی خط مفروض می گذرد.
2 در شکل های زیر در صورت وجود، به خطوط موازی، متقاطع و متنافر اشاره کنید.


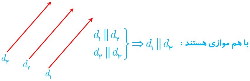
3 دو خط موازی رسم کنید و آنها را d1 و d2 بنامید.
حالا خط d3 را موازی با d2 رسم کنید. دو خط d3 و d1 نسبت به هم چه وضعی دارند؟

نتیجه 1: در یک صفحه دو خط موازی با یک خط ________________ .
با هم موازی هستند.
آیا در فضا نیز این نتیجه برقرار است؟
بله؛ در فضا هم این نتیجه برقرار می باشد .
4 می دانیم که در صفحه دو خط عمود بر یک خط، با هم موازی اند. آیا در فضا هم این رابطه برقرار است؟

خیر؛ ممکن است دو خط عمود بر یک خط، با یکدیگر متنافر باشند .
5 خط d با صفحه P متقاطع است.
خط های موجود در صفحهٔ P نسبت به خط d چه وضعیت هایی می توانند داشته باشند؟

یا متقاطع هستند و یا متنافر.
مای درس ، برترین اپلیکیشن کمک درسی ایران
پوشش تمام محتواهای درسی پایه چهارم تا دوازدهم- آزمون آنلاین تمامی دروس
- گام به گام تمامی دروس
- ویدئو های آموزشی تمامی دروس
- گنجینه ای از جزوات و نمونه سوالات تمامی دروس
- فلش کارت های آماده دروس
- گنجینه ای جامع از انشاء های آماده
- آموزش جامع آرایه های ادبی، دستور زبان، قواعد زبان انگلیسی و ... ویژه





