جواب تمرین صفحه 19 درس 2 ریاضی هفتم (عددهای صحیح)
تعداد بازدید : 86.39Mپاسخ تمرین صفحه 19 ریاضی هفتم
-گام به گام تمرین صفحه 19 درس عددهای صحیح
-تمرین صفحه 19 درس 2
-شما در حال مشاهده جواب تمرین صفحه 19 ریاضی هفتم هستید. ما در تیم مای درس، پاسخنامههای کاملاً تشریحی و استاندارد را مطابق با آخرین تغییرات کتاب درسی 1404 برای شما گردآوری کردهایم. اگر به دنبال بهروزترین پاسخها برای این صفحه هستید و میخواهید بدون نیاز به اتصال به اینترنت، علاوه بر پاسخهای گام به گام، به گنجینهای از مطالب درسی دسترسی پیدا کنید، حتماً اپلیکیشن مایدرس را نصب نمایید.
📥 دانلود اپلیکیشن مایدرس
برای دسترسی آفلاین، سریع و بدون نیاز به اینترنت به گنجینهای از گامبهگامها و نمونه سوالات، اپلیکیشن را نصب کنید.
1 عددها را از کوچک تر به بزرگ تر و از چپ به راست مرتب کنید.
23 – و 12 و 34 – و 5 – و 0 و 45 و 15 – و 5 و 1 – و 2
\( - 31\,\,\,,\,\,\, - 23\,\,\,,\,\,\, - 15\,\,\,,\,\,\, - 5\,\,\,,\,\,\, - 1\,\,\,,\,\,\,0\,\,\,,\,\,\,2\,\,\,,\,\,\,5\,\,\,,\,\,\,12\,\,\,,\,\,\,45\)
2 طبقهٔ همکف یک ساختمان را با صفر و طبقه های بالای همکف را با عددهای مثبت و طبقه های زیر همکف را با عددهای منفی نشان می دهیم. حال مسئلهٔ زیر را حل کنید.
شخصی در طبقهٔ 5+ سوار آسانسور (آسان بر) شد. او ابتدا 3 طبقه بالا رفت و پس از انجام کاری 6 طبقه به پایین آمد و دوباره برای خرید چای 2 طبقه پایین رفت و در همان طبقه هزینه های خرید خود را حساب کرد. سپس دوباره 2 طبقه پایین رفت و در توقفگاه، سوار ماشین خود شد. ماشین این شخص در کدام طبقه بوده است؟
برای حل این مسئله، طبقه هایی را که شخص بالا رفته است را با عدد مثبت و طبقه هایی را که شخص پایین رفته را با عدد منفی نشان می دهیم. سپس همه عددها را با هم جمع می کنیم:
ابتدا شخص در طبقه 5+ بوده و بعد از آن 3 طبقه بالا رفته است؛ بنابراین داریم:
\( + 5 + 3 = + (5 + 3) = + 8\)
حال او برای انجام کاری 6 طبقه پایین آمده است، پس حرکت او 6- بوده است؛ بنابراین داریم:
\( + 8 + ( - 6) = + (8 - 6) = + 2\)
او اکنون در طبقه 2+ است و برای خرید چای 2 طبقه پایین می آید؛ بنابراین حرکت او 2- بوده است؛ داریم:
\( + 2 + ( - 2) = + (2 - 2) = 0\)
او اکنون در طبقه 0 یعنی طبقه همکف می باشد. او دوباره 2 طبقه پایین می رود تا سوار ماشین خود شود؛ بنابراین حرکت او 2- بوده است؛ در نتیجه داریم:
\(0 + ( - 2) = ( - 2) + 0 = - 2\)
در نتیجه ماشین این شخص در طبقه 2- می باشد.
3 هواشناسی و پیش بینی وضعیت هوا یکی از مشاغلی است که علاوه بر دانش جغرافی به ریاضیات و به خصوص درس آمار و احتمال احتیاج دارد. کارشناس هواشناسی در اخبار ساعت ٩ شب اعلام کرد با ورود سامانهٔ پرفشار، دمای هوا در شهر اردبیل در حدود ١٠ درجه سردتر می شود. در انتهای خبر، دمای هوای شهرهای مختلف توسط زیرنویس اعلام شد. دمای هوای اردبیل درحال حاضر ٣ درجه بالای صفر است. پس از ورود این سامانه دمای هوای اردبیل چند درجه خواهد شد؟
3 درجه بالای صفر یعنی 3+
10 درجه سردتر یعنی 10-
برای این که دمای هوای اردبیل را پس از ورود سامانه هوای سرد بدست آوریم، کافی است که این دو عدد را با هم جمع نماییم:
\( + 3 + ( - 10) = - (10 - 3) = - 7\)
دمای هوای این شهر پس از ورود سامانه هوای سرد برابر 7- می شود.
4 دمای شهرهای کرمان، سنندج و یاسوج به ترتیب ١١ درجه بالای صفر، 6 درجه زیر صفر و 10 درجه زیر صفر است. سنندج چند درجه از کرمان سردتر است؟ یاسوج چند درجه از سنندج سردتر است؟

دمای شهر کرمان \( + 11 = \)
دمای شهر سنندج \( - 6 = \)
دمای شهر یاسوج \( - 10 = \)
ابتدا دمای هوای شهر سنندج را از شهر کرمان کم می کنیم:

علامت منفی یعنی اینکه شهر سنندج سردتر از شهر کرمان است و 17 درجه از این شهر سردتر است.
حال دمای هوای شهر یاسوج را از شهر سنندج کم می کنیم:

شهر یاسوج از شهر سنندج 4 درجه سردتر است.
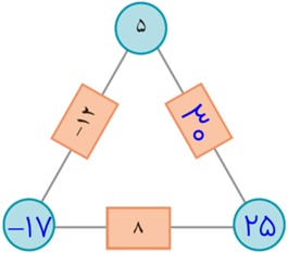
5 در جای خالی، عدد مناسب بنویسید.


6 در مثلث مقابل، عدد روی هر ضلع، از مجموع عددهای دو رأس به دست می آید.


7 حاصل عبارت ها را به دست آورید.
\(\begin{array}{*{20}{l}}{10 - ( - 4) = }\\{}\\{ - 8 - 4 = }\\{}\\{ - 16 + 15 = }\\{}\\{ - 14 + 20 = }\\{}\\{ - 10 - ( - 5) = }\\{}\\{ - 10 - ( + 5) = }\\{}\\{10 - 6 = }\\{}\\{10 - 20 = }\\{}\\{ - 10 - ( + 20) = }\\{}\\{10 - ( + 5) = }\\{}\\{10 - ( - 5) = }\\{}\\{ - 10 - ( - 20) = }\end{array}\)
\(\begin{array}{*{20}{l}}{10 - ( - 4) = 10 + ( + 4) = + (10 + 4) = + 14}\\{}\\{ - 8 - 4 = - 8 + ( - 4) = - (8 + 4) = - 12}\\{}\\{ - 16 + 15 = - (16 - 15) = - 1}\\{}\\{ - 14 + 20 = + (20 - 14) = + 6}\\{}\\{ - 10 - ( - 5) = - 10 + ( + 5) = - (10 - 5) = - 5}\\{}\\{ - 10 - ( + 5) = - 10 + ( - 5) = - (10 + 5) = - 15}\\{}\\{10 - 6 = 4}\\{}\\{10 - 20 = - (20 - 10) = - 10}\\{}\\{ - 10 - ( + 20) = - 10 + ( - 20) = - (10 + 20) = - 30}\\{}\\{10 - ( + 5) = 10 + ( - 5) = + (10 - 5) = + 5}\\{}\\{10 - ( - 5) = 10 + ( + 5) = + (10 + 5) = + 15}\\{}\\{ - 10 - ( - 20) = - 10 + ( + 20) = + (20 - 10) = + 10}\end{array}\)
مای درس ، برترین اپلیکیشن کمک درسی ایران
پوشش تمام محتواهای درسی پایه چهارم تا دوازدهم- آزمون آنلاین تمامی دروس
- گام به گام تمامی دروس
- ویدئو های آموزشی تمامی دروس
- گنجینه ای از جزوات و نمونه سوالات تمامی دروس
- فلش کارت های آماده دروس
- گنجینه ای جامع از انشاء های آماده
- آموزش جامع آرایه های ادبی، دستور زبان، قواعد زبان انگلیسی و ... ویژه





