جواب کاردرکلاس صفحه 24 درس 2 ریاضی هفتم (عددهای صحیح)
تعداد بازدید : 86.39Mپاسخ کاردرکلاس صفحه 24 ریاضی هفتم
-گام به گام کاردرکلاس صفحه 24 درس عددهای صحیح
-کاردرکلاس صفحه 24 درس 2
-شما در حال مشاهده جواب کاردرکلاس صفحه 24 ریاضی هفتم هستید. ما در تیم مای درس، پاسخنامههای کاملاً تشریحی و استاندارد را مطابق با آخرین تغییرات کتاب درسی 1404 برای شما گردآوری کردهایم. اگر به دنبال بهروزترین پاسخها برای این صفحه هستید و میخواهید بدون نیاز به اتصال به اینترنت، علاوه بر پاسخهای گام به گام، به گنجینهای از مطالب درسی دسترسی پیدا کنید، حتماً اپلیکیشن مایدرس را نصب نمایید.
📥 دانلود اپلیکیشن مایدرس
برای دسترسی آفلاین، سریع و بدون نیاز به اینترنت به گنجینهای از گامبهگامها و نمونه سوالات، اپلیکیشن را نصب کنید.
1 حاصل عبارت ها را به دست آورید.
\(\begin{array}{l}( - 2) \times ( - 4) \div ( + 8) = \\\\ - 4 \times ( + 3) \div ( - 2) = \\\\( - 14 \div ( + 7)) \times ( - 3) = \\\\(28 \div ( - 4)) \times ( + 3) = \end{array}\)
\(\begin{array}{l}( - 2) \times ( - 4) \div ( + 8) = ( - 8) \div ( + 8) = - 1\\\\ - 4 \times ( + 3) \div ( - 2) = ( - 12) \div ( - 2) = + 6\\\\( - 14 \div ( + 7)) \times ( - 3) = ( - 2) \times ( - 3) = + 6\\\\(28 \div ( - 4)) \times ( + 3) = ( - 7) \times ( + 3) = - 21\end{array}\)
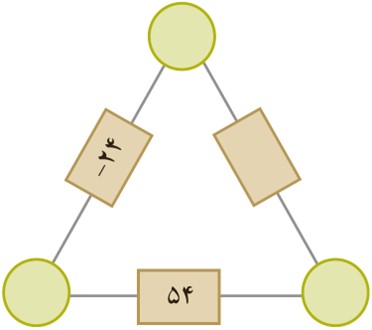
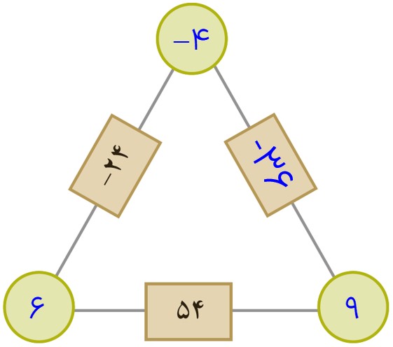
2 حاصل ضرب عددهای روی رأس های مثلث، روی هر ضلع نوشته شده است.
جاهای خالی را کامل کنید.


3 الگوهای عددی را کامل کنید.


مای درس ، برترین اپلیکیشن کمک درسی ایران
پوشش تمام محتواهای درسی پایه چهارم تا دوازدهم- آزمون آنلاین تمامی دروس
- گام به گام تمامی دروس
- ویدئو های آموزشی تمامی دروس
- گنجینه ای از جزوات و نمونه سوالات تمامی دروس
- فلش کارت های آماده دروس
- گنجینه ای جامع از انشاء های آماده
- آموزش جامع آرایه های ادبی، دستور زبان، قواعد زبان انگلیسی و ... ویژه





