جواب کاردرکلاس صفحه 102 درس 8 ریاضی هفتم (بردار و مختصات)
تعداد بازدید : 86.39Mپاسخ کاردرکلاس صفحه 102 ریاضی هفتم
-گام به گام کاردرکلاس صفحه 102 درس بردار و مختصات
-کاردرکلاس صفحه 102 درس 8
-شما در حال مشاهده جواب کاردرکلاس صفحه 102 ریاضی هفتم هستید. ما در تیم مای درس، پاسخنامههای کاملاً تشریحی و استاندارد را مطابق با آخرین تغییرات کتاب درسی 1404 برای شما گردآوری کردهایم. اگر به دنبال بهروزترین پاسخها برای این صفحه هستید و میخواهید بدون نیاز به اتصال به اینترنت، علاوه بر پاسخهای گام به گام، به گنجینهای از مطالب درسی دسترسی پیدا کنید، حتماً اپلیکیشن مایدرس را نصب نمایید.
📥 دانلود اپلیکیشن مایدرس
برای دسترسی آفلاین، سریع و بدون نیاز به اینترنت به گنجینهای از گامبهگامها و نمونه سوالات، اپلیکیشن را نصب کنید.
1 با توجه به اندازهٔ بردارهای نیرو که با طول های مختلف نشان داده شده است، توضیح دهید که جسم به کدام سمت حرکت می کند؟


در این شکل، نیروهایی که در راستای افق هستند، با یکدیگر قرینه هستند؛ پس یکدیگر را خنثی می کنند.
برآیند (مجموع بردارهای) نیروهای در راستای قائم رو به پایین می باشد، چرا که اندازه نیروی در جهت پایین بیشتر از نیروی در جهت بالا است. بنابراین جسم به سمت پایین حرکت می کند.

در این شکل نیز، برآیند (مجموع بردارهای) نیروهای در راستای قائم رو به پایین می باشد، چرا که اندازه نیروی در جهت پایین بیشتر از نیروی در جهت بالا است. بنابراین جسم به سمت پایین حرکت می کند.

در این شکل نیز، برآیند (مجموع بردارهای) نیروهای در راستای افق به سمت راست می باشد، چرا که اندازه نیروی در جهت راست بیشتر از نیروی در جهت چپ می باشد. بنابراین جسم به سمت راست حرکت می کند.
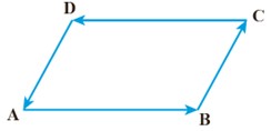
2 با توجه به شکل های زیر (شش ضلعی منتظم و متوازی الاضلاع) بردارهای قرینه را نام ببرید.


بردارهای قرینه در این شکل:
بردارهای \(\overrightarrow {DE} \,,\,\overrightarrow {AB} \) با یکدیگر قرینه اند.
بردارهای \(\overrightarrow {EF} \,,\,\overrightarrow {BC} \) با یکدیگر قرینه اند.
بردارهای \(\overrightarrow {FA} \,,\,\overrightarrow {CD} \) با یکدیگر قرینه اند.

بردارهای قرینه در این شکل:
بردارهای \(\overrightarrow {CD} \,,\,\overrightarrow {AB} \) با یکدیگر قرینه اند.
بردارهای \(\overrightarrow {DA} \,,\,\overrightarrow {BC} \) با یکدیگر قرینه اند.
مای درس ، برترین اپلیکیشن کمک درسی ایران
پوشش تمام محتواهای درسی پایه چهارم تا دوازدهم- آزمون آنلاین تمامی دروس
- گام به گام تمامی دروس
- ویدئو های آموزشی تمامی دروس
- گنجینه ای از جزوات و نمونه سوالات تمامی دروس
- فلش کارت های آماده دروس
- گنجینه ای جامع از انشاء های آماده
- آموزش جامع آرایه های ادبی، دستور زبان، قواعد زبان انگلیسی و ... ویژه





