جواب فعالیت صفحه 7 درس 1 ریاضی و آمار دوازدهم انسانی (آمار و احتمال)
تعداد بازدید : 84.71Mپاسخ فعالیت صفحه 7 ریاضی و آمار دوازدهم انسانی
-گام به گام فعالیت صفحه 7 درس آمار و احتمال
-فعالیت صفحه 7 درس 1
-شما در حال مشاهده جواب فعالیت صفحه 7 ریاضی و آمار دوازدهم انسانی هستید. ما در تیم مای درس، پاسخنامههای کاملاً تشریحی و استاندارد را مطابق با آخرین تغییرات کتاب درسی 1404 برای شما گردآوری کردهایم. اگر به دنبال بهروزترین پاسخها برای این صفحه هستید و میخواهید بدون نیاز به اتصال به اینترنت، علاوه بر پاسخهای گام به گام، به گنجینهای از مطالب درسی دسترسی پیدا کنید، حتماً اپلیکیشن مایدرس را نصب نمایید.
📥 دانلود اپلیکیشن مایدرس
برای دسترسی آفلاین، سریع و بدون نیاز به اینترنت به گنجینهای از گامبهگامها و نمونه سوالات، اپلیکیشن را نصب کنید.
1 فرض کنید بخواهیم تعداد اعداد 4 رقمی را که با ارقام 1 تا 7 می توان نوشت، حساب کنیم. در این صورت، داریم: (تکرار ارقام مجاز نیست.)

(توجه دارید که با جابه جایی هر رقم از این عدد 4 رقمی با رقم دیگر، یک عدد 4 رقمی جدید حاصل می شود. به عبارت دیگر، در این جایگشت ها، ترتیب قرار گرفتن اشیای انتخاب شده، اهمیت دارد.)

2 به چند طریق می توانیم سه کتاب را از بین 5 کتاب متمایز، انتخاب کنیم و در یک ردیف بچینیم؟



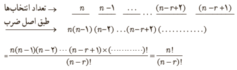
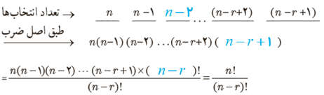
3 در حالت کلّی، نشان دهید تعداد انتخاب های r شیء از بین n. \(\left( {r \le n} \right)\) که با جابه جایی r شیء انتخاب شده اهمیت داشته باشد، برابر است با: \(\frac{{n!}}{{\left( {n - r} \right)!}}\)


مای درس ، برترین اپلیکیشن کمک درسی ایران
پوشش تمام محتواهای درسی پایه چهارم تا دوازدهم- آزمون آنلاین تمامی دروس
- گام به گام تمامی دروس
- ویدئو های آموزشی تمامی دروس
- گنجینه ای از جزوات و نمونه سوالات تمامی دروس
- فلش کارت های آماده دروس
- گنجینه ای جامع از انشاء های آماده
- آموزش جامع آرایه های ادبی، دستور زبان، قواعد زبان انگلیسی و ... ویژه





