جواب فعّالیت صفحه 30 درس 2 ریاضی نهم (عددهای حقیقی)
تعداد بازدید : 84.75Mپاسخ فعّالیت صفحه 30 ریاضی نهم
-گام به گام فعّالیت صفحه 30 درس عددهای حقیقی
-فعّالیت صفحه 30 درس 2
-شما در حال مشاهده جواب فعّالیت صفحه 30 ریاضی نهم هستید. ما در تیم مای درس، پاسخنامههای کاملاً تشریحی و استاندارد را مطابق با آخرین تغییرات کتاب درسی 1404 برای شما گردآوری کردهایم. اگر به دنبال بهروزترین پاسخها برای این صفحه هستید و میخواهید بدون نیاز به اتصال به اینترنت، علاوه بر پاسخهای گام به گام، به گنجینهای از مطالب درسی دسترسی پیدا کنید، حتماً اپلیکیشن مایدرس را نصب نمایید.
📥 دانلود اپلیکیشن مایدرس
برای دسترسی آفلاین، سریع و بدون نیاز به اینترنت به گنجینهای از گامبهگامها و نمونه سوالات، اپلیکیشن را نصب کنید.
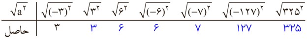
جدول زیر را کامل کنید:

از فعالیت بالا چه نتیجه ای می گیرید؟

حاصل \(\sqrt {{a^2}} \) همیشه مثبت است.
مای درس ، برترین اپلیکیشن کمک درسی ایران
پوشش تمام محتواهای درسی پایه چهارم تا دوازدهم- آزمون آنلاین تمامی دروس
- گام به گام تمامی دروس
- ویدئو های آموزشی تمامی دروس
- گنجینه ای از جزوات و نمونه سوالات تمامی دروس
- فلش کارت های آماده دروس
- گنجینه ای جامع از انشاء های آماده
- آموزش جامع آرایه های ادبی، دستور زبان، قواعد زبان انگلیسی و ... ویژه





