جواب تمرین صفحه 36 درس 3 ریاضی هفتم (جبر و معادله)
تعداد بازدید : 86.39Mپاسخ تمرین صفحه 36 ریاضی هفتم
-گام به گام تمرین صفحه 36 درس جبر و معادله
-تمرین صفحه 36 درس 3
-شما در حال مشاهده جواب تمرین صفحه 36 ریاضی هفتم هستید. ما در تیم مای درس، پاسخنامههای کاملاً تشریحی و استاندارد را مطابق با آخرین تغییرات کتاب درسی 1404 برای شما گردآوری کردهایم. اگر به دنبال بهروزترین پاسخها برای این صفحه هستید و میخواهید بدون نیاز به اتصال به اینترنت، علاوه بر پاسخهای گام به گام، به گنجینهای از مطالب درسی دسترسی پیدا کنید، حتماً اپلیکیشن مایدرس را نصب نمایید.
📥 دانلود اپلیکیشن مایدرس
برای دسترسی آفلاین، سریع و بدون نیاز به اینترنت به گنجینهای از گامبهگامها و نمونه سوالات، اپلیکیشن را نصب کنید.
1 سارا از یک فروشگاه کتاب تعداد k جلد کتاب نو به مبلغ هر کدام 70000 تومان و s جلد کتاب دست دوم به مبلغ هر کدام 20000 تومان خریده است.
الف یک عبارت جبری برای مجموع خرید سارا بنویسید.
ب اگر سارا 3 کتاب نو و 6 کتاب دست دوم خریده باشد، در مجموع چه مبلغی پرداخت کرده است؟
الف
= عبارت جبری مجموع خرید سارا
\(\begin{array}{l}k \times 7000 + s \times 2000 = \\\\7000k + 2000s\end{array}\)
ب
مجموع خرید سارا به صورت زیر بدست می آید:
\(\left\{ \begin{array}{l}k = 3\\\\s = 6\end{array} \right.\)
= مجموع خرید سارا
\(\begin{array}{l}3 \times 7000 + 6 \times 2000 = \\\\21000 + 12000 = \end{array}\)
تومان 33000
2 کتابخانهٔ ملی یکی از مراکز معتبر در ایران است که کتاب های خطی و چاپی دانشمندان ایرانی در دوران باشکوه تمدن اسلامی (مخصوصاً کتاب های قرن های دوم تا هفتم هجری) را نگهداری می کند. اگر m نسخۀ خطی و n نسخهٔ چاپی در این کتابخانه نگهداری شود و از هر نسخهٔ خطی 2 میکروفیلم (ریزفیلم) و از هر نسخهٔ چاپی یک میکروفیلم تهیه شده باشد، تعداد کل میکروفیلم ها را با یک عبارت جبری نشان دهید.
اگر 1000 نسخهٔ خطی و 5000 نسخهٔ چاپی وجود داشته باشد، تعداد کل میکروفیلم ها را پیدا کنید.

نسخه خطی = m
نسخه چاپی = n
= عبارت جبری تعداد کل میکرو فیلم ها
\(\begin{array}{l}2 \times m + 1 \times n = 2m + n\\\\\\\left\{ \begin{array}{l}m = 1000\\\\n = 5000\end{array} \right.\end{array}\)
= تعداد کل میکرو فیلم ها
\(\begin{array}{l}2m + n = 2 \times 1000 + 1 \times 5000 = \\\\2000 + 5000 = 7000\end{array}\)
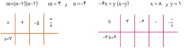
3 مقدار عددی عبارت های جبری را به ازای عددهای داده شده به دست آورید.

\(\begin{array}{l}\left\{ \begin{array}{l}m = 3\\\\n = - 4\end{array} \right.\\\\m + (n - 1)(n - 1) = \\\\3 + ( - 4 - 1)( - 4 - 1) = \\\\3 + ( - 5)( - 5) = \\\\3 + 25 = 28\end{array}\)
\(\begin{array}{l}\left\{ \begin{array}{l}x = 8\\\\y = 1\end{array} \right.\\\\ - 6x + y(x - y) = \\\\ - 6 \times 8 + 1 \times (8 - 1) = \\\\ - 48 + 1 \times 7 = \\\\ - 48 + 7 = - 41\end{array}\)
\(\begin{array}{l}a = 2 \Rightarrow a + 7 = 2 + 7 = 9\\\\a = - 5 \Rightarrow a + 7 = - 5 + 7 = 2\\\\a = \frac{3}{4} \Rightarrow a + 7 = \frac{3}{4} + 7 = 7\frac{3}{4}\end{array}\)

\(\begin{array}{l}b = 3 \Rightarrow - 3b + 4 = - 3(3) + 4 = - 9 + 4 = - 5\\\\b = - 3 \Rightarrow - 3b + 4 = - 3( - 3) + 4 = 9 + 4 = 13\\\\b = 0 \Rightarrow - 3b + 4 = - 3(0) + 4 = 0 + 4 = 4\\\\b = - \frac{1}{2} \Rightarrow - 3b + 4 = - 3( - \frac{1}{2}) + 4 = \frac{3}{2} + 4 = 5\frac{1}{2}\end{array}\)

4 مدیر یک دبیرستان قصد دارد دانش آموزان پایهٔ هفتم را برای بازدید از مناطق جنگی به شلمچه و هویزه اعزام کند. هزینهٔ بلیت قطار برای هر دانش آموز از تهران تا خرمشهر، 330 هزار تومان است.
الف هزینهٔ خرید بلیت برای a دانش آموز را به صورت یک عبارت جبری بنویسید.
ب اگر مدرسه دارای 120 دانش آموز در پایهٔ هفتم باشد، برای تهیهٔ بلیت قطار دانش آموزان چقدر باید بپردازند؟
الف
= عبارت جبری هزینۀ خرید بلیط برای a دانش آموز
a × 30000 = 30000a
ب
a = 120
= هزینۀ بلیط قرار برای 120 دانش آموز
تومان \(30000 \times 120 = 3,600,000\)
5 مقدار عددی عبارت های جبری را به ازای عددهای داده شده به دست آورید.
\(\begin{array}{l}\left\{ \begin{array}{l}x = 10\\\\y = 20\end{array} \right.\\\\4x - 3y + 7x - 2(2x - y + 3)\end{array}\)
\(\begin{array}{l}\left\{ \begin{array}{l}x = 17\\\\y = - 6\end{array} \right.\,\\\\2(x - 3y + 1) - (2x - 6y - 3)\end{array}\)
\(\begin{array}{l}\left\{ \begin{array}{l}x = 10\\\\y = 20\end{array} \right.\\\\4x - 3y + 7x - 2(2x - y + 3) = \\\\4x - 3y + 7x - 4x + 2y - 6 = \\\\(4x + 7x - 4x) + ( - 3y + 2y) - 6 = \\\\7x - y - 6 = 7 \times 10 - 20 - 6 = \\\\70 - 26 = 44\end{array}\)
\(\begin{array}{l}\left\{ \begin{array}{l}x = 17\\\\y = - 6\end{array} \right.\,\\\\2(x - 3y + 1) - (2x - 6y - 3) = \\\\2x - 6y + 2 - 2x + 6y + 3 = \\\\(2x - 2x) + ( - 6y + 6y) + (2 + 3) = \\\\0 + 0 + 5 = 5\end{array}\)
چون در محاسبۀ مقدار عبارت های جبری، مقدار ضرایب x و y صفر شده است، بنابراین مقدار آن ها نیز در محاسبه تأثیری نداشته و جواب نهایی همان عدد 5 خواهد بود.
مای درس ، برترین اپلیکیشن کمک درسی ایران
پوشش تمام محتواهای درسی پایه چهارم تا دوازدهم- آزمون آنلاین تمامی دروس
- گام به گام تمامی دروس
- ویدئو های آموزشی تمامی دروس
- گنجینه ای از جزوات و نمونه سوالات تمامی دروس
- فلش کارت های آماده دروس
- گنجینه ای جامع از انشاء های آماده
- آموزش جامع آرایه های ادبی، دستور زبان، قواعد زبان انگلیسی و ... ویژه





