جواب تمرین صفحه 53 درس 2 ریاضی و آمار دهم انسانی (تابع)
تعداد بازدید : 84.72Mپاسخ تمرین صفحه 53 ریاضی و آمار دهم انسانی
-گام به گام تمرین صفحه 53 درس تابع
-تمرین صفحه 53 درس 2
-شما در حال مشاهده جواب تمرین صفحه 53 ریاضی و آمار دهم انسانی هستید. ما در تیم مای درس، پاسخنامههای کاملاً تشریحی و استاندارد را مطابق با آخرین تغییرات کتاب درسی 1404 برای شما گردآوری کردهایم. اگر به دنبال بهروزترین پاسخها برای این صفحه هستید و میخواهید بدون نیاز به اتصال به اینترنت، علاوه بر پاسخهای گام به گام، به گنجینهای از مطالب درسی دسترسی پیدا کنید، حتماً اپلیکیشن مایدرس را نصب نمایید.
📥 دانلود اپلیکیشن مایدرس
برای دسترسی آفلاین، سریع و بدون نیاز به اینترنت به گنجینهای از گامبهگامها و نمونه سوالات، اپلیکیشن را نصب کنید.
1 کدام یک از رابطه های زیر تابع است؟ چرا؟ برای هر رابطه نمودار مختصاتی را رسم کنید.
الف

ب

پ
\(f = \left\{ {(2\,,\, - 1)\,,\,(3\,,\, - 1)\,,\,(1\,,\, - 1)\,,\,(4\,,\,1)\,,\,(2\,,\,4)} \right\}\)
ت
\(g = \left\{ {(1\,,\,1)} \right\}\)
ث
\(\begin{array}{l}f:\mathbb{R}\,\,\, \to \,\,\,\mathbb{R}\\\\f(x) = 2x + 1\end{array}\)
ج
\(\begin{array}{l}f:\mathbb{R}\,\,\, \to \,\,\,\mathbb{R}\\\\f(x) = x\end{array}\)
چ
\(\begin{array}{l}f:\mathbb{R}\,\,\, \to \,\,\,\mathbb{R}\\\\f(x) = 2\end{array}\)
الف
تابع است، زیرا هر عضو از مجموعه سمت چپ فقط به یکی از مجموعه سمت راست وصل شده است (از هر عضو یک پیکان خارج شده است.)

ب
تابع نیست، زیرا یک عضو از مجموعه سمت چپ (a) به دو عضو از مجموعه سمت راست \((c'\,,\,a')\) وصل شده است.

پ
تابع نیست، دو زوج مرتب متمایز با مولفه اول برابر دارد:
\((2\,,\, - 1)\,,\,(2\,,\,4)\)

ت
تابع است. چون فقط یک مولفه دارد.

ث
تابع است چون خطی است و هر عضو از x فقط دارای یک عضو از y است.

ج
تابع است چون خطی است و هر عضو از x فقط دارای یک عضو از y است.

چ
تابع است چون خطی است و هر عضو از x فقط دارای یک عضو از y است.

2 بُرد هریک از توابع زیر را با توجّه به ضابطه و دامنهٔ داده شده، به دست آورید.
الف
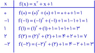
\(\begin{array}{l}f:A \to B\\\\f(x) = {x^2} + x + 1\\\\A = \left\{ {0\,,\, - 1\,,\,1\,,\,2\,,\, - 2} \right\}\end{array}\)
ب
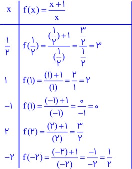
\(\begin{array}{l}f:A \to B\\\\f(x) = \frac{{x + 1}}{x}\\\\A = \left\{ {\frac{1}{2}\,,\,1\,,\, - 1\,,\,2\,,\, - 2} \right\}\end{array}\)
پ
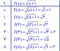
\(\begin{array}{l}f:A \to B\\\\f(x) = \sqrt {x + 1} \\\\A = \left\{ {0\,,\,1\,,\,2\,,\,3\,,\,4\,,\,8} \right\}\end{array}\)
ت
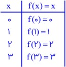
\(\begin{array}{l}f:A \to B\\\\f(x) = x\\\\A = w = \left\{ {0\,,\,1\,,\,2\,,\, \cdots } \right\}\end{array}\)
ث
\(\begin{array}{l}f:A \to B\\\\f(x) = 0\\\\A = \mathbb{R}\end{array}\)
الف

\( \Rightarrow {R_f} = \left\{ {1\,,\,3\,,\,7} \right\} \)
ب

\( \Rightarrow {R_f} = \left\{ {3\,,\,2\,,\,0\,,\,\frac{3}{2}\,,\,\frac{1}{2}} \right\}\)
پ

\( \Rightarrow {R_f} = \left\{ {1\,,\,\sqrt 2 \,,\,\sqrt 3 \,,\,2\,,\,\sqrt 5 \,,\,3} \right\}\)
ت

\( \Rightarrow {R_f} = w = \left\{ {0\,,\,1\,,\,2\,,\,3\,,\, \cdots } \right\}\)
ث

\( \Rightarrow {R_f} = \left\{ 0 \right\}\)
3 تابع f به هر عدد حقیقی، دو برابر مکعب همان عدد، منهای ٤ را نسبت می دهد. f کدام تابع است؟ حاصل f(3) را بیابید.
الف
\(\begin{array}{l}f:\mathbb{R} \to \mathbb{R}\\\\f(x) = 2{(x - 4)^3}\end{array}\)
ب
\(\begin{array}{l}f:\mathbb{R} \to \mathbb{R}\\\\f(x) = 2\sqrt[3]{{x - 4}}\end{array}\)
پ
\(\begin{array}{l}f:\mathbb{R} \to \mathbb{R}\\\\f(x) = 2{x^3} - 4\end{array}\)
ت
\(\begin{array}{l}f:\mathbb{R} \to \mathbb{R}\\\\f(x) = 2\sqrt[3]{x} - 4\end{array}\)
جواب صحیح گزینه (پ) می باشد:
دو برابر مکعب همان عدد، منهای ٤ برابر می باشد با:
\(f(x) = 2{x^3} - 4\)
اگر به جای متغیر x مقدار 3 را بگذاریم، خواهیم داشت:
\(f(3) = 2{(3)^3} - 4 = 2 \times 27 - 4 = 50\)
4 کدام نمودار، نمایش یک تابع می باشد؟ چرا؟

الف و ت و ث و چ تابع هستند. چون به ازای هر عضو از x فقط یک عضو از y را شامل می شود.
ب و پ و ج تابع نیستند. چون دارای عضوی از x است که بیش از یک عضو از y را شامل می شود.
مای درس ، برترین اپلیکیشن کمک درسی ایران
پوشش تمام محتواهای درسی پایه چهارم تا دوازدهم- آزمون آنلاین تمامی دروس
- گام به گام تمامی دروس
- ویدئو های آموزشی تمامی دروس
- گنجینه ای از جزوات و نمونه سوالات تمامی دروس
- فلش کارت های آماده دروس
- گنجینه ای جامع از انشاء های آماده
- آموزش جامع آرایه های ادبی، دستور زبان، قواعد زبان انگلیسی و ... ویژه





