جواب فعّالیت صفحه 51 درس 2 ریاضی و آمار دهم انسانی (تابع)
تعداد بازدید : 84.72Mپاسخ فعّالیت صفحه 51 ریاضی و آمار دهم انسانی
-گام به گام فعّالیت صفحه 51 درس تابع
-فعّالیت صفحه 51 درس 2
-شما در حال مشاهده جواب فعّالیت صفحه 51 ریاضی و آمار دهم انسانی هستید. ما در تیم مای درس، پاسخنامههای کاملاً تشریحی و استاندارد را مطابق با آخرین تغییرات کتاب درسی 1404 برای شما گردآوری کردهایم. اگر به دنبال بهروزترین پاسخها برای این صفحه هستید و میخواهید بدون نیاز به اتصال به اینترنت، علاوه بر پاسخهای گام به گام، به گنجینهای از مطالب درسی دسترسی پیدا کنید، حتماً اپلیکیشن مایدرس را نصب نمایید.
📥 دانلود اپلیکیشن مایدرس
برای دسترسی آفلاین، سریع و بدون نیاز به اینترنت به گنجینهای از گامبهگامها و نمونه سوالات، اپلیکیشن را نصب کنید.
با توجّه به ضابطهٔ هر تابع و مانند نمونه، مجموعهٔ مقادیر یا بُرد هر تابع را مشخص کنید.
\(\begin{array}{*{20}{l}}{\begin{array}{*{20}{l}}{f:A \to B}\\{f(x) = 2{x^2} + 1}\end{array}}\end{array}\,\,\,\,\,,\,\,\,\,\,A = \left\{ { - 1\,,\,\sqrt 2 \,,\,2\,,\,1\,,\,0\,,\,\frac{1}{2}} \right\}\)

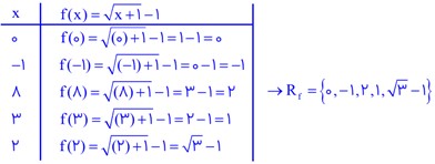
\(\begin{array}{*{20}{l}}{\begin{array}{*{20}{l}}{f:A \to B}\\{f(x) = \sqrt {x + 1} - 1}\end{array}}\end{array}\,\,\,\,\,,\,\,\,\,\,A = \left\{ {0\,,\, - 1\,,\,8\,,\,3\,,\,2} \right\}\) الف
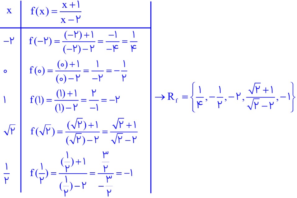
\(\begin{array}{*{20}{l}}{\begin{array}{*{20}{l}}{f:A \to B}\\{f(x) = \frac{{x + 1}}{{x - 2}}}\end{array}}\end{array}\,\,\,\,\,,\,\,\,\,\,A = \left\{ { - 2\,,\,0\,,\,1\,,\,\sqrt 2 \,,\,\frac{1}{2}} \right\}\) ب
\(\begin{array}{*{20}{l}}{\begin{array}{*{20}{l}}{f:A \to B}\\{f(x) = \sqrt {x + 1} - 1}\end{array}}\end{array}\,\,\,\,\,,\,\,\,\,\,A = \left\{ {0\,,\, - 1\,,\,8\,,\,3\,,\,2} \right\}\) الف

\(\begin{array}{*{20}{l}}{\begin{array}{*{20}{l}}{f:A \to B}\\{f(x) = \frac{{x + 1}}{{x - 2}}}\end{array}}\end{array}\,\,\,\,\,,\,\,\,\,\,A = \left\{ { - 2\,,\,0\,,\,1\,,\,\sqrt 2 \,,\,\frac{1}{2}} \right\}\) ب

مای درس ، برترین اپلیکیشن کمک درسی ایران
پوشش تمام محتواهای درسی پایه چهارم تا دوازدهم- آزمون آنلاین تمامی دروس
- گام به گام تمامی دروس
- ویدئو های آموزشی تمامی دروس
- گنجینه ای از جزوات و نمونه سوالات تمامی دروس
- فلش کارت های آماده دروس
- گنجینه ای جامع از انشاء های آماده
- آموزش جامع آرایه های ادبی، دستور زبان، قواعد زبان انگلیسی و ... ویژه





