جواب فعالیت صفحه 100 درس 3 ریاضی و آمار دوازدهم انسانی (الگوهای غیر خطی)
تعداد بازدید : 84.72Mپاسخ فعالیت صفحه 100 ریاضی و آمار دوازدهم انسانی
-گام به گام فعالیت صفحه 100 درس الگوهای غیر خطی
-فعالیت صفحه 100 درس 3
-شما در حال مشاهده جواب فعالیت صفحه 100 ریاضی و آمار دوازدهم انسانی هستید. ما در تیم مای درس، پاسخنامههای کاملاً تشریحی و استاندارد را مطابق با آخرین تغییرات کتاب درسی 1404 برای شما گردآوری کردهایم. اگر به دنبال بهروزترین پاسخها برای این صفحه هستید و میخواهید بدون نیاز به اتصال به اینترنت، علاوه بر پاسخهای گام به گام، به گنجینهای از مطالب درسی دسترسی پیدا کنید، حتماً اپلیکیشن مایدرس را نصب نمایید.
📥 دانلود اپلیکیشن مایدرس
برای دسترسی آفلاین، سریع و بدون نیاز به اینترنت به گنجینهای از گامبهگامها و نمونه سوالات، اپلیکیشن را نصب کنید.
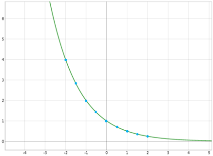
1 تابع \(y = {\left( {\frac{1}{2}} \right)^x}\) را در نظر بگیرید و با استفاده از ماشین حساب، جدول زیر را کامل کنید.


2 نقاط به دست آمده در جدول بالا را روی صفحهٔ مختصات به دست آورید و به هم وصل کنید. آیا می توانید به کمک نمودار، مقدار تابع \({\left( {\frac{1}{2}} \right)^x}\) را برای هر عدد دلخواه x حدس بزنید؟

بله؛ مقدار تابع را برای هر عدد دلخواه می توان حدس زد.
3 نمودار تابع \(y = {\left( {\frac{1}{2}} \right)^x}\) را با نمودار تابع \(y = {2^x}\) ، که در فعالیت های قبلی رسم کرده بودید، مقایسه کنید. چه تفاوت اساسی بین این دو نمودار ملاحظه می کنید؟
\(y = {2^x}\) یک تابع صعودی است، ولی تابع \(y = {(\frac{1}{2})^x}\) یک تابع نزولی است.
مای درس ، برترین اپلیکیشن کمک درسی ایران
پوشش تمام محتواهای درسی پایه چهارم تا دوازدهم- آزمون آنلاین تمامی دروس
- گام به گام تمامی دروس
- ویدئو های آموزشی تمامی دروس
- گنجینه ای از جزوات و نمونه سوالات تمامی دروس
- فلش کارت های آماده دروس
- گنجینه ای جامع از انشاء های آماده
- آموزش جامع آرایه های ادبی، دستور زبان، قواعد زبان انگلیسی و ... ویژه





