جواب فعالیت صفحه 61 درس 2 ریاضی و آمار دوازدهم انسانی (الگوهای خطی)
تعداد بازدید : 84.72Mپاسخ فعالیت صفحه 61 ریاضی و آمار دوازدهم انسانی
-گام به گام فعالیت صفحه 61 درس الگوهای خطی
-فعالیت صفحه 61 درس 2
-شما در حال مشاهده جواب فعالیت صفحه 61 ریاضی و آمار دوازدهم انسانی هستید. ما در تیم مای درس، پاسخنامههای کاملاً تشریحی و استاندارد را مطابق با آخرین تغییرات کتاب درسی 1404 برای شما گردآوری کردهایم. اگر به دنبال بهروزترین پاسخها برای این صفحه هستید و میخواهید بدون نیاز به اتصال به اینترنت، علاوه بر پاسخهای گام به گام، به گنجینهای از مطالب درسی دسترسی پیدا کنید، حتماً اپلیکیشن مایدرس را نصب نمایید.
📥 دانلود اپلیکیشن مایدرس
برای دسترسی آفلاین، سریع و بدون نیاز به اینترنت به گنجینهای از گامبهگامها و نمونه سوالات، اپلیکیشن را نصب کنید.
یک قطار باری از ایستگاهی در 60 کیلومتری بندرعباس بارگیری کرده است و مطابق نمودار مکان زمان زیر با سرعتی ثابت به سمت طبس حرکت می کند.

الف ضابطهٔ تابع و دامنه و برد آن را به دست آورید.
\(\begin{array}{*{20}{l}}{A\left| {\begin{array}{*{20}{l}}0\\{60}\end{array}} \right.\;\;\:,\;\;\:B\left| {\begin{array}{*{20}{l}}1\\{150}\end{array}} \right.}\\{}\\{m = \frac{{{y_B} - {y_A}}}{{{x_B} - {x_A}}} = \frac{{150 - 60}}{{1 - 0}} = 90\;\;\:}\\{}\\{ \Rightarrow y = 90\:x + 60}\\{}\\{ \Rightarrow \left\{ {\begin{array}{*{20}{l}}{D:\;\;\:0 \le x \le 10}\\{R:\;\;\:60 \le y \le 960}\end{array}} \right.}\end{array}\)
ب اگر راهبر این قطار به دلایلی مانند رعایت سرعت مجاز و امنیت قطار موظف باشد پس از حرکت، مسافت طی شده در هر «یک ساعت» را به مرکز بندرعباس گزارش دهد، این نقاط را به کمک نمودار (1) در نمودار (2) کامل کنید.


ج ضابطه و دامنه و برد نمودار (2) چه تفاوتی با نمودار (1) دارند؟
دامنه و برد نمودار (1) زیرمجموعه ای از اعداد حقیقی، ولی دامنه و برد نمودار (2)، زیرمجموعه ای از اعداد طبیعی است.
د جدول 1 را به کمک نقشهٔ داده شده کامل کنید.


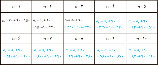
هـ با فرض اینکه an مسافت طی شدهٔ قطار n ساعت پس از ترک ایستگاه بارگیری باشد، جدول 2 را به کمک نمودار (2) کامل کنید.


و با مقایسهٔ جدول های 1و 2، کدام ایستگاه ها محل تماس راهبر قطار بوده اند؟ چرا؟
ایستگاه بافق؛ به علت مقایسه مسافت و فاصله از دو جدول
فاصله 690 کیلومتری:
\({a_7} = 690\)
ز با توجه به جدول 2، ابتدا تساوی های زیر را کامل کنید.
\(\begin{array}{l}\left\{ \begin{array}{l}{a_3} = {a_2} + \;....\\{a_3} = {a_1} + \;....\;\; \times 90\end{array} \right.\;\;\;\;\;\;\;\left\{ \begin{array}{l}{a_{11}} = {a_{10}} + \;....\\{a_{11}} = {a_1} + \;....\;\; \times 90\end{array} \right.\\\\\left\{ \begin{array}{l}{a_7} = {a_6} + \;....\\{a_7} = {a_1} + \;....\;\; \times 90\end{array} \right.\;\;\;\;\;\;\;\left\{ \begin{array}{l}{a_8} = {a_2} + \;....\;\; \times 90\\{a_8} = {a_5} + \;....\;\; \times 90\end{array} \right.\end{array}\)
از روابط بالا می توان نتیجه گرفت:
\(\begin{array}{l}{a_n} = {a_1} + \left( {...........} \right) \times 90\;\;\;\;\left( 1 \right)\\\\{a_n} = {a_{n - 1}} = ............\\\\{a_n} - {a_m} = \left( {...........} \right) \times 90\end{array}\)
\(\begin{array}{l}\left\{ \begin{array}{l}{a_3} = {a_2} + \;90\\{a_3} = {a_1} + \;2\;\; \times 90\end{array} \right.\;\;\;\;\;\;\;\left\{ \begin{array}{l}{a_{11}} = {a_{10}} + \;90\\{a_{11}} = {a_1} + \;10\;\; \times 90\end{array} \right.\\\\\left\{ \begin{array}{l}{a_7} = {a_6} + \;90\\{a_7} = {a_1} + \;6\;\; \times 90\end{array} \right.\;\;\;\;\;\;\;\left\{ \begin{array}{l}{a_8} = {a_2} + \;6\;\; \times 90\\{a_8} = {a_5} + \;3\;\; \times 90\end{array} \right.\end{array}\)
\(\begin{array}{l}{a_n} = {a_1} + \left( {n - 1} \right) \times 90\;\;\;\;\left( 1 \right)\\\\{a_n} = {a_{n - 1}} = 90\\\\{a_n} - {a_m} = \left( {n - m} \right) \times 90\end{array}\)
ح کدام ویژگی دنباله an باعث برقراری روابط بالا شده است؟
اضافه شدن 90 به هر جمله ای برای تعیین جمله بعدی.
ط رابطهٔ (1) در قسمت «ز» چه ارتباطی با ضابطهٔ تابع به دست آمده در قسمت «الف» دارد؟
\(\begin{array}{l}{a_n} = {a_1} + (n - 1) \times 90\\\\ \Rightarrow {a_n} = {a_1} + 90n - 90\\\\\mathop \Rightarrow \limits^{{a_1} = 150} \;{a_n} = 90n + 60\\\\y = 90\;x + 60\end{array}\)
مای درس ، برترین اپلیکیشن کمک درسی ایران
پوشش تمام محتواهای درسی پایه چهارم تا دوازدهم- آزمون آنلاین تمامی دروس
- گام به گام تمامی دروس
- ویدئو های آموزشی تمامی دروس
- گنجینه ای از جزوات و نمونه سوالات تمامی دروس
- فلش کارت های آماده دروس
- گنجینه ای جامع از انشاء های آماده
- آموزش جامع آرایه های ادبی، دستور زبان، قواعد زبان انگلیسی و ... ویژه





