جواب فعالیت صفحه 64 درس 4 ریاضی هشتم (جبر و معادله)
تعداد بازدید : 86.33Mپاسخ فعالیت صفحه 64 ریاضی هشتم
-گام به گام فعالیت صفحه 64 درس جبر و معادله
-فعالیت صفحه 64 درس 4
-شما در حال مشاهده جواب فعالیت صفحه 64 ریاضی هشتم هستید. ما در تیم مای درس، پاسخنامههای کاملاً تشریحی و استاندارد را مطابق با آخرین تغییرات کتاب درسی 1404 برای شما گردآوری کردهایم. اگر به دنبال بهروزترین پاسخها برای این صفحه هستید و میخواهید بدون نیاز به اتصال به اینترنت، علاوه بر پاسخهای گام به گام، به گنجینهای از مطالب درسی دسترسی پیدا کنید، حتماً اپلیکیشن مایدرس را نصب نمایید.
📥 دانلود اپلیکیشن مایدرس
برای دسترسی آفلاین، سریع و بدون نیاز به اینترنت به گنجینهای از گامبهگامها و نمونه سوالات، اپلیکیشن را نصب کنید.
1 حاصل جمع پنج عدد متوالی طبیعی 65 شده است. عدد وسط چه عددی است؟
پنج دانش آموز این مسئله را با راهبردهای مختلف حل کرده اند. راه حل هر کدام را کامل کنید و توضیح دهید.
راه حل سمیه: راهبرد حدس و آزمایش

راه حل فریده: راهبرد رسم شکل

و عددها عبارتند از:
راه حل فهیمه: راهبرد روش های نمادین
\(\begin{array}{l}\bigcirc + (\bigcirc + 1) + (\bigcirc + 2) + (\bigcirc + 3) + (\bigcirc + 4) = 65\\\\5\bigcirc + 10 = 65 \to \bigcirc = ?\end{array}\)
عدد وسطی را در تساوی بالا مشخص کنید.
و عددها عبارتند از:
راه حل مهدیه: راهبرد تشکیل معادله
\(\begin{array}{l}x + (x + 1) + (x + 2) + (x + 3) + (x + 4) = 65\\\\5x + 10 = 65 \to x = \end{array}\)
و عددها عبارتند از:
راه حل فرشته: راهبرد تشکیل معادله
\((x - 2) + (x - 1) + x + (x + 1) + (x + 2) = 65\)
تفاوت راه حل های فرشته و مهدیه را توضیح دهید.
راه حل سمیه:

راه حل فریده:

عددها عبارتند از:
11 , 12 , 13 , 14 , 15
راه حل فهیمه:
\(\begin{array}{l}\bigcirc + (\bigcirc + 1) + (\bigcirc + 2) + (\bigcirc + 3) + (\bigcirc + 4) = 65\\\\5\bigcirc + 10 = 65 \to \bigcirc = 11\end{array}\)
عددها عبارتند از:
11 , 12 , 13 , 14 , 15
راه حل مهدیه:
\(\begin{array}{l}x + (x + 1) + (x + 2) + (x + 3) + (x + 4) = 65\\\\5x + 10 = 65 \to x = 11\end{array}\)
عددها عبارتند از:
11 , 12 , 13 , 14 , 15
راه حل فرشته:
\(\begin{array}{l}(x - 2) + (x - 1) + x + (x + 1) + (x + 2) = 65\\\\ \Rightarrow 5x = 65 \Rightarrow x = 13\end{array}\)
در راه حل مهدیه، مجهول اولین عدد از اعداد متوالی در نظر گرفته شده است که برابر عدد 11 است؛ در حالی که در راه حل فرشته، مجهول همان عدد وسط یعنی 13 می باشد که جواب سوال هم هست.
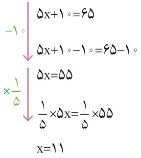
2 مهدیه با توجه به آنچه سال گذشته آموخته بود، معادلهٔ خود را به صورت زیر حل کرد:

معلم راه حل مهدیه را به صورت زیر خلاصه کرد. توضیح دهید در این روش معنی پیکان ها چیست؟

پیکانها در واقع نماد جابهجایی اعداد بین دو طرف علامت مساوی هستند. قانون اصلی این است: «هر عددی که از روی علامت مساوی عبور کند و به سمت دیگر برود، علامت یا عملگر آن معکوس میشود.»
اگر عملگر جمع باشد، به تفریق و همچنین بر عکس آن یعنی اگر تفریق باشد، به جمع تبدیل می شود.
اگر عملگر ضرب باشد، به تقسیم و همچنین بر عکس آن یعنی اگر تقسیم باشد، به ضرب تبدیل می شود.
توضیح راه حل مهدیه:
از طرفین معادله عدد 10 را کم کرده است. سپس طرفین را در عدد \(\frac{1}{5}\) ضرب می کند.
توضیح راه حل معلم:
ابتدا عدد 10 را به سمت راست معادله می برد که باعث می شود علامت آن تغییر کند، سپس عدد 5 را در مخرج عدد 55 قرار می دهد تا مقدار مجهول x که برابر 11 است، به دست آید.
3 با توجه به سؤال بالا، روش حل معادله را توضیح دهید؛ سپس معادله های دیگر را به همین ترتیب حل کنید.
\(\begin{array}{l}\left\{ \begin{array}{l}2x - 3 = x + 5\\\\2x - x = 5 + 3\\\\x = 8\end{array} \right.\\\\3x - 1 = x - 7\\\\2(x - 1) = 3(x + 4)\end{array}\)
\(\left\{ \begin{array}{l}2x - 3 = x + 5\\\\2x - x = 5 + 3\\\\x = 8\end{array} \right.\)
توضیح روش حل معادله:
معلوم ها به یک طرف (معمولاً طرف راست تساوی) و مجهول های معادله به طرف دیگر (معمولاً طرف چپ تساوی) رفته است. 3 به سمت راست و x به سمت چپ می رود. در نتیجه این انتقال یا جابجایی، علامت آن ها نیز تغییر می کند.
\(\begin{array}{l}3x - 1 = x - 7\\\\3x - x = - 7 + 1\\\\2x = - 6\\\\x = \frac{{ - 6}}{2} = - 3\end{array}\)
\(\begin{array}{l}2(x - 1) = 3(x + 4)\\\\2x - 2 = 3x + 12\\\\ - 2 - 12 = 3x - 2x\\\\ - 14 = x \Rightarrow x = - 14\end{array}\)
مای درس ، برترین اپلیکیشن کمک درسی ایران
پوشش تمام محتواهای درسی پایه چهارم تا دوازدهم- آزمون آنلاین تمامی دروس
- گام به گام تمامی دروس
- ویدئو های آموزشی تمامی دروس
- گنجینه ای از جزوات و نمونه سوالات تمامی دروس
- فلش کارت های آماده دروس
- گنجینه ای جامع از انشاء های آماده
- آموزش جامع آرایه های ادبی، دستور زبان، قواعد زبان انگلیسی و ... ویژه





