جواب کاردرکلاس صفحه 53 درس 4 ریاضی هشتم (جبر و معادله)
تعداد بازدید : 86.33Mپاسخ کاردرکلاس صفحه 53 ریاضی هشتم
-گام به گام کاردرکلاس صفحه 53 درس جبر و معادله
-کاردرکلاس صفحه 53 درس 4
-شما در حال مشاهده جواب کاردرکلاس صفحه 53 ریاضی هشتم هستید. ما در تیم مای درس، پاسخنامههای کاملاً تشریحی و استاندارد را مطابق با آخرین تغییرات کتاب درسی 1404 برای شما گردآوری کردهایم. اگر به دنبال بهروزترین پاسخها برای این صفحه هستید و میخواهید بدون نیاز به اتصال به اینترنت، علاوه بر پاسخهای گام به گام، به گنجینهای از مطالب درسی دسترسی پیدا کنید، حتماً اپلیکیشن مایدرس را نصب نمایید.
📥 دانلود اپلیکیشن مایدرس
برای دسترسی آفلاین، سریع و بدون نیاز به اینترنت به گنجینهای از گامبهگامها و نمونه سوالات، اپلیکیشن را نصب کنید.
1 در سال گذشته، ضرب یک عدد را در پرانتز با شکل زیر یاد گرفتید.

این تساوی چگونه به کمک شکل به دست آمده است؟ توضیح دهید.
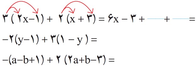
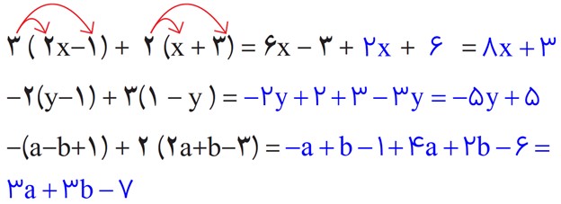
عبارت های جبری زیر را ساده کنید.

5a و 5b به ترتیب بیانگر مساحت مستطیل های سبز و زرد رنگ هستند. مجموع این مساحت ها برابر 5(a+b) می باشد که برابر مساحت مستطیل بزرگتر می باشد.


2 شما همچنین جمع و تفریق جمله های متشابه (جمله هایی که همهٔ قسمت های حرفی آنها یکی هستند) را یاد گرفتید. جمله های متشابه را پیدا کنید.
\(3{x^2}y\,\,\,\,\,7y{x^2}\,\,\,\,\,2yx\,\,\,\,\, - 5x\,\,\,\,\, + 5y\,\,\,\,\, - 3xy\,\,\,\,\, + 4x\,\,\,\,\,y\)
\(\begin{array}{l}3{x^2}y\,\,\,\,\,,\,\,\,\,\,7y{x^2}\\\\2yx\,\,\,\,\,,\,\,\,\,\, - 3xy\\\\ - 5x\,\,\,\,\,,\,\,\,\,\, + 4x\\\\ + 5y\,\,\,\,\,,\,\,\,\,\,y\end{array}\)
مای درس ، برترین اپلیکیشن کمک درسی ایران
پوشش تمام محتواهای درسی پایه چهارم تا دوازدهم- آزمون آنلاین تمامی دروس
- گام به گام تمامی دروس
- ویدئو های آموزشی تمامی دروس
- گنجینه ای از جزوات و نمونه سوالات تمامی دروس
- فلش کارت های آماده دروس
- گنجینه ای جامع از انشاء های آماده
- آموزش جامع آرایه های ادبی، دستور زبان، قواعد زبان انگلیسی و ... ویژه





